• Contact us
  • E-Submission
ABOUT
BROWSE ARTICLES
JOURNAL POLICIES
FOR CONTRIBUTORS

Articles

Page Path

Original Article

Health rights of inmates in correctional facilities in Korea as of 2016: a cross-sectional study

2025;48(1):e75. Published online: January 31, 2025

1Department of Occupational and Environmental Medicine, National Medical Center, Seoul, Korea

2Center for Public Health Data Analytics, National Medical Center, Seoul, Korea

3Department of Social Medicine, College of Medicine, Inha University, Incheon, Korea

4School of Law, Seoul National University, Seoul, Korea

*Corresponding author: Young Su Ju, Department of Occupational and Environmental Medicine, National Medical Center, 245 Euljiro, Jung-gu, Seoul 04564, Korea, E-mail: juyoungsu.zorro@gmail.com

*This paper is a secondary publication based on the authors’ report titled “2016 National Human Rights Commission of Korea’s Survey on the Health Rights of Inmates in Correctional Facilities” (Publication registration No.: 11-1620000-000628-01), specifically an abridged English translation. Dr. Seung-Sup Kim declined to be a co-author of this translated work; therefore, he is not listed in this article, despite his role as a co-researcher in the original report.

• Received: October 6, 2024   • Accepted: November 23, 2024

© Copyright 2025 Ewha Womans University College of Medicine and Ewha Medical Research Institute

This is an Open-Access article distributed under the terms of the Creative Commons Attribution Non-Commercial License (http://creativecommons.org/licenses/by-nc/4.0) which permits unrestricted non-commercial use, distribution, and reproduction in any medium, provided the original work is properly cited.

  • 6,822 Views
  • 19 Download
prev
  • Objectives: This study aimed to assess the health rights of inmates in correctional facilities from the perspective of unmet needs and to explore institutional improvement plans that could yield substantial qualitative and quantitative advancements.
    Methods: Data on capacity and actual occupancy, external and internal medical services, the number of inmates with mental health conditions, and cell area were obtained from the Ministry of Justice. Overall, 1,057 inmates were surveyed, representing 1.84% of the total inmate population of 57,560 as of September 30, 2016. A structured questionnaire was distributed to these inmates, and upon collection, the responses were analyzed. Furthermore, a request was submitted to the Ministry of Justice to survey the status of healthcare personnel and medical services across 52 correctional facilities nationwide.
    Results: Between 2014 and 2015, the Ministry of Justice in South Korea allocated approximately 14 to 22 billion Korean won for healthcare services in correctional facilities. The major facilities with the most inmates with mental health conditions had 160 such inmates in 2014 and 161 in 2015. Overcrowding and insufficient cooling pose ongoing health risks. Inmates face challenges accessing medical care, with unmet needs for dental and psychiatric services.
    Conclusion: Strategies to improve inmates’ health rights include establishing a primary healthcare system, improving governance, alleviating overcrowding, and introducing mental health programs. Emphases are placed on managing severe illnesses such as cancer, strengthening emergency care, and ensuring oversight by the National Human Rights Commission. Regular education of prison staff is also recommended to improve inmate health management.
Background
Assessing potential human rights violations in the context of inmate health is challenging when considering only the medical interventions provided to individual prisoners. Thus, it is essential to comprehensively review existing correctional healthcare policies and to develop guidelines that align with international human rights standards while reflecting the characteristics of the society. This approach is intended to propose alternatives to more effectively safeguard the health rights of inmates.
Objectives
This research aims to examine the status of health rights for inmates within correctional facilities, which serve as a barometer of human rights in a democracy governed by the rule of law. The goal is to assess these rights in terms of unmet needs and to explore institutional improvement plans that could yield substantial qualitative and quantitative advancements.
Ethics statement
Before the questionnaires were distributed to participants, they were informed of the following regarding consent: “Your personal information will not be disclosed without your consent. The findings of this study will be reported in a de-identified format, such as through distribution tables or statistics. If you encounter difficulty answering any questions, you are not obligated to respond.”
Setting
Prior to the site visits, the National Human Rights Commission requested relevant data from the Ministry of Justice. The Ministry provided information on several facilities, specifically Seoul Detention Center, Anyang Correctional Institution, Daejeon Correctional Institution, Jinju Correctional Institution, Gyeongbuk Northern Correctional Institution No. 1, and Mokpo Correctional Institution. These data included details on capacity and actual occupancy, external and internal medical services, the number of inmates with mental health conditions, and cell area.
Participants
The field research involved visits to correctional facilities to assess the status of their medical facilities. Of 52 correctional facilities across the country, 10 (19.2%) were selected for the survey. From each facility, a basic sample size of 100 inmates was chosen. In total, 1,057 inmates were surveyed, accounting for 1.84% of the total inmate population of 57,560 as of September 30, 2016 (Table 1).
Table 1.

Number of survey participants by facility

Capacity Current number of inmates Participants %
Gyeongbuk Northern Correctional Institution No. 1 1,270 1,347 100 9.5
Daejeon Correctional Institution 2,060 2,935 133 12.6
Mokpo Correctional Institution 1,040 1,295 108 10.2
Seoul Detention Center 2,200 3,521 100 9.5
Anyang Correctional Institution 1,700 1,900 100 9.5
Yeoju Correctional Institution 1,610 1,603 101 9.5
Jinju Correctional Institution 1,050 1,003 112 10.6
Cheonan Correctional Institution 1,060 1,225 101 9.5
Cheongju Correctional Institution 750 1,079 100 9.5
Cheongju Women’s Correctional Institution 610 750 102 9.6
Total 13,350 15,364 1,057 100
Variables
The variables under investigation were all questionnaire items presented to participants.
Data sources and measurement
A structured questionnaire was distributed to inmates, then collected and analyzed. Furthermore, a request was submitted to the Ministry of Justice to conduct a survey on the status of healthcare personnel and medical services available to inmates across 52 correctional facilities nationwide.
Bias
Bias may have been present in participant selection, as individuals were not randomly allocated, but rather determined by each facility.
Study size
The basic sample size consisted of 100 inmates from each of 10 facilities. Participants were selected by the respective correctional facilities; consequently, no additional sample size estimation was performed.
Statistical methods
Descriptive statistics were used.
General status data

General status

The total budget allocated by the Ministry of Justice for healthcare across all detention facilities was 14,565.36 million Korean won (KRW) in 2014 and 15,393.87 million KRW in 2015. Healthcare expenditures for these facilities were 16,029.2 million KRW in 2014 and 22,282.28 million KRW in 2015.

External medical consultations

When an inmate in a correctional facility requests a medical consultation through correctional staff in the housing or work areas, the assigned medical officer conducts either a rotating or accompanied consultation. Based on the medical officer’s recommendation, the inmate may be authorized to receive treatment at an external medical facility, which could include telemedicine services or in-person visits. The average monthly numbers of external consultations by facility were as follows: Seoul Detention Center, 239.3 inmates sent for external consultations; Anyang Correctional Institution, 372.5; Daejeon Correctional Institution, 288.0; Gyeongbuk Northern Correctional Institution No. 1, 110.2; Mokpo Correctional Institution, 248.3; and Jinju Correctional Institution, 87.1 (Table 2).
Table 2.

Number of external medical consultations by facility (May 1, 2015−April 30, 2016)

Time Seoul Detention Center Anyang Correctional Institution Daejeon Correctional Institution Gyeongbuk Northern Correctional Institution No. 1 Mokpo Correctional Institution Jinju Correctional Institution
15.5 239 356 256 123 221 92
15.6 295 401 255 114 199 99
15.7 293 461 281 110 222 100
15.8 309 426 199 94 194 88
15.9 212 395 231 114 265 103
15.10 239 360 375 108 246 87
15.11 212 378 322 125 286 75
15.12 233 350 231 125 289 78
16.1 202 303 295 93 241 71
16.2 213 334 287 106 250 62
16.3 222 351 327 107 303 108
16.4 202 355 397 103 264 82
Total 2,871 4,470 3,456 1,322 2,980 1,045

Internal medical consultations

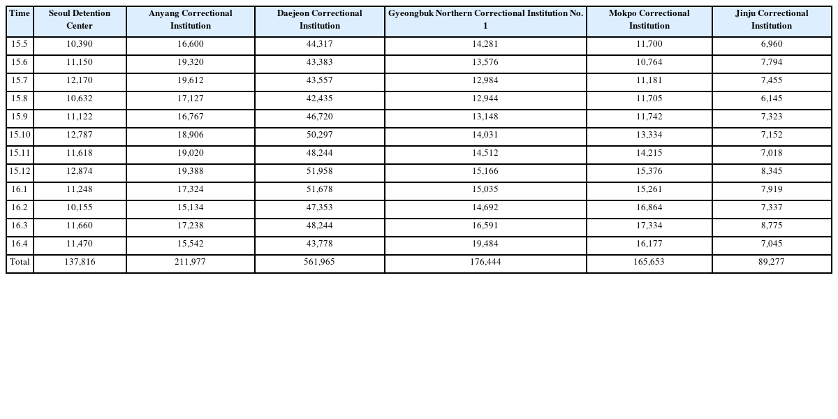
When an inmate requests a medical consultation or medication through correctional staff in the housing or work areas, the medical officer reviews the request. The officer then identifies inmates who require consultations or medications and escorts those needing consultations to the medical department for treatment. Medications are prepared and dispensed to the inmates in need, beginning in the afternoon of the same day. The average monthly numbers of internal consultations by facility were as follows: Seoul Detention Center, 11,484.7 internal consultations; Anyang Correctional Institution, 17,664.8; Daejeon Correctional Institution, 46,830.4; Gyeongbuk Northern Correctional Institution No. 1, 14,703.7; Mokpo Correctional Institution, 13,804.4; Jinju Correctional Institution, 7,439.8 (Table 3).
Table 3.

Number of internal medical consultations by facility (May 1, 2015−April 30, 2016)

Time Seoul Detention Center Anyang Correctional Institution Daejeon Correctional Institution Gyeongbuk Northern Correctional Institution No. 1 Mokpo Correctional Institution Jinju Correctional Institution
15.5 10,390 16,600 44,317 14,281 11,700 6,960
15.6 11,150 19,320 43,383 13,576 10,764 7,794
15.7 12,170 19,612 43,557 12,984 11,181 7,455
15.8 10,632 17,127 42,435 12,944 11,705 6,145
15.9 11,122 16,767 46,720 13,148 11,742 7,323
15.10 12,787 18,906 50,297 14,031 13,334 7,152
15.11 11,618 19,020 48,244 14,512 14,215 7,018
15.12 12,874 19,388 51,958 15,166 15,376 8,345
16.1 11,248 17,324 51,678 15,035 15,261 7,919
16.2 10,155 15,134 47,353 14,692 16,864 7,337
16.3 11,660 17,238 48,244 16,591 17,334 8,775
16.4 11,470 15,542 43,778 19,484 16,177 7,045
Total 137,816 211,977 561,965 176,444 165,653 89,277

Inmates with mental health conditions

In 2014, Seoul Detention Center reported a total of 160 inmates with mental health conditions, while Daejeon Correctional Institution and Jinju Correctional Institution had 123 and 119, respectively (Table 4). At Seoul Detention Center, the most common mental illness was depression, affecting 67 inmates; 39 had anxiety disorders, and 23 had schizophrenia. At Daejeon Correctional Institution, 52 inmates had depression, 30 had anxiety disorders, and 18 had schizophrenia. Jinju Correctional Institution reported 76 inmates with schizophrenia and 36 with depression. In 2015, Mokpo Correctional Institution had the highest number of inmates with mental health conditions, totaling 161. This was followed by Seoul Detention Center, with 140, and Jinju Correctional Institution, with 123. Of the inmates at Mokpo Correctional Institution, 70 were affected by sleep disorders, 52 by depression, and 27 by anxiety disorders (Table 5).
Table 4.

Number of inmates with mental health conditions (2014)

Total Behavior disorders (F10-F19) Schizophrenia (F20-F29) Depression (F30-F39) Anxiety disorders (F40-F49) Sleep disorders (F50-F99) Etc.
Seoul 160 6 23 67 39 5 20
Anyang 114 37 43 34
Daejeon 123 3 18 52 30 14 6
Kyungpook 82 7 26 18 17 10 5
Mokpo 103 2 10 49 13 25 4
Jinju 119 76 36 7
Table 5.

Number of inmates with mental health conditions (2015)

Total Behavior disorders (F10-F19) Schizophrenia (F20-F29) Depression (F30-F39) Anxiety disorders (F40-F49) Sleep disorders (F50-F99) Others
Seoul 140 24 33 35 3 45
Anyang 110 5 30 29 17 29
Daejeon 107 3 18 46 21 14 5
Kyungpook 93 3 19 20 29 15 7
Mokpo 161 3 8 52 27 70 1
Jinju 123 24 86 11 2

Inmate deaths

The survey of correctional facilities conducted in 2014 and 2015 reported a total of 11 deaths. Of these, Seoul Detention Center accounted for two deaths, Daejeon Correctional Institution for six, Gyeongbuk Northern Correctional Institution No. 1 for one, and Jinju Correctional Institution for two.

Inmates with health-related sentence suspensions

In 2014 and 2015, a total of 92 inmates from the surveyed correctional facilities had their sentences suspended for health reasons. The breakdown of these numbers by facility is as follows: Seoul Detention Center, 20, Anyang Correctional Institution, 20, Daejeon Correctional Institution, 28, Gyeongbuk Northern Correctional Institution No. 1, six, Mokpo Correctional Institution, seven, and Jinju Correctional Institution, 11.

Inmate housing conditions

The range of cell area by facility is as follows:
Seoul Detention Center: The area of shared cells for male prisoners ranges from 8.96 to 12.84 m2, while that of shared cells for female patients ranges from 5.16 to 17.52 m2.
Anyang Correctional Institution: The area of shared cells for male prisoners ranges from 3.6 to 24.4 m2.
Daejeon Correctional Institution: The area of shared cells for male prisoners ranges from 6.7 to 33.27 m2, while that of shared cells for female patients ranges from 59 to 88.5 m2.
Gyeongbuk Northern Correctional Institution No. 1: The area of shared cells for male prisoners ranges from 6.72 to 10.08 m2.
Mokpo Correctional Institution: The area of shared cells for male prisoners ranges from 10.8 to 17.3 m2, while that of shared cells for female patients ranges from 10.8 to 14.0 m2.
Jinju Correctional Institution: The area of shared cells for male prisoners ranges from 10.8 to 17.3 m2, while female shared cells range from 10.8 to 18.9 m2.
Field research results

General situation

The average age of respondents was 43.8 years (SD, 10.5 years), and the median age was 45 years. Most respondents—762 individuals (95.4%)—were in their 20s to 50s. Prior to incarceration, 436 respondents (42.3%) were married. In terms of administrative classification, the largest group was classified as grade 3 (411 respondents, 41.5%), followed by grade 2 (378 respondents, 38.1%), grade 1 (187 respondents, 18.9%), and grade 4 (15 respondents, 1.5%). Most participants (786 inmates, 95.9%) were housed in shared accommodations, and 774 inmates (77.9%) were assigned to work-release cells. Regarding criminal history, 641 respondents (64.2%) were first-time offenders, while 358 (35.8%) were repeat offenders. The average sentencing period was 6.3 years (SD, 5.1 years), and the average time served was 4.2 years (SD, 4.0 years). On average, respondents spent 55,000 KRW per month on personal medical expenses (SD, 120,000 KRW).

Living environment: residential conditions and overcrowding

Regarding heating in the winter, out of 1,021 respondents to the item, 356 inmates (34.9%) reported that it was “very cold,” while 419 individuals (41.0%) described it as “cold.” Conversely, during the summer, 705 inmates (68.5%) characterized their living quarters as “very hot,” while 288 (28.0%) reported them to be “somewhat hot.” Of 1,031 inmates who responded to the survey regarding ventilation, a total of 638 (61.9%) reported issues with ventilation in their rooms. Concerning the lighting conditions for sleep, out of 1,026 respondents, 252 (24.6%) indicated that lights were on during sleep time, whereas 293 respondents (28.6%) reported that lights were not on during this period.
Regarding access to shower facilities, 465 of 958 respondents (48.5%) reported being unable to use showers, while 378 respondents (45.3%) indicated that they primarily used showers during the summer. Furthermore, 772 respondents (84.1%) stated that hot water was available only in the winter.
When asked about their laundry habits, 745 respondents (80.6%) reported washing their clothes in the bathroom rather than in a laundry room. Regarding washing methods, 755 respondents (81.9%) indicated that they hand-washed their clothes.
When asked whether clothing was distributed on time, 875 of 1,020 respondents (85.8%) answered in the affirmative. However, regarding satisfaction with the quality of the clothing, 464 of 1,008 respondents (46.0%) expressed dissatisfaction.
Concerning the allocation and cleanliness of bedding, 670 of 1,021 respondents (65.6%) reported receiving one mattress per person. Additionally, 557 respondents (55.0%) indicated they were provided with two blankets each, and 939 respondents (92.2%) confirmed receiving one pillow per person. In terms of the cleanliness and suitability of the bedding, 328 out of 1,014 respondents (32.3%) described the bedding as not clean or suitable for use, while 169 respondents (16.7%) stated that it was not at all clean.
Regarding compliance with the planned diet in the correctional facility, 816 out of 1,041 respondents (78.4%) reported that the facility adhered to the planned menu. However, when asked about satisfaction with the meals, 345 out of 1,038 respondents (33.2%) indicated dissatisfaction. Regarding the quality of purchased supplementary food (self-funded), 571 out of 1,039 respondents (55.0%) expressed dissatisfaction.
Concerning daily exercise duration, 507 out of 1,036 respondents (48.9%) reported exercising for 15 to 30 minutes a day, while 390 respondents (37.6%) indicated that they exercised for 30 to 45 minutes daily.

Emotional state

Depression: The 11-item Center for Epidemiologic Studies Depression Scale was administered to assess the presence of depression among the inmates. Scores of 21 to 24 indicated mild depression, while scores of 25 or higher indicated severe depression. Of 1,003 respondents, 115 (11.5%) were identified as having mild depression and 199 (19.8%) severe depression. Consequently, a total of 314 participants (31.3%) were classified as experiencing depression.
Sleep disorders: Among 938 respondents, the average time to fall asleep was 33.2 minutes (SD, 28.0 minutes), and the median time was 30 minutes. The shortest time recorded to fall asleep was 5 minutes, while the longest was 250 minutes. A total of 652 respondents (69.5%) took between 10 minutes and 1 hour to fall asleep. On average, respondents woke up 3.4 times per night (SD, 2.1 times), and the median number of awakenings was three. The maximum number of awakenings reported by a respondent in a night was 20, and 35 respondents (3.8%) reported waking up more than 10 times. On average, respondents had trouble sleeping 2.8 days per week (SD, 2.2 days), and the median was 2 days. The maximum number of days per week with sleep difficulties was seven, with 99 respondents (12.5%) indicating they had trouble sleeping every night. Additionally, 194 respondents (24.4%) reported having difficulty sleeping at least one night per week, while 180 respondents (22.6%) experienced difficulty sleeping for two nights per week.
Intentional self-harm: Of 846 respondents, 118 inmates (13.9%) reported having considered intentional self-harm within the past year. Among these individuals, 31 inmates (3.7%) indicated that they had formulated a suicide plan during the past year, and 11 inmates (1.3%) reported that they had attempted suicide.

General health condition

Over the past year, the most frequently reported health issues were headaches and eye fatigue, affecting 740 respondents (15.1%). This was followed by muscle pain in the shoulders, neck, and arms, reported by 708 respondents (14.5%). Muscle pain in the lower body, including the hips and legs, affected 588 respondents (12.0%). Among the 93 respondents (2.4%) who reported other health issues, conditions mentioned included chronic prostatitis, colds, acute pyelonephritis, toothaches, cystitis, ascites, rhinitis, asthma, pulmonary fibrosis, and endometriosis. When asked if they had developed new health problems after being incarcerated, 541 out of 727 respondents (60.4%) answered “yes.” Furthermore, when asked whether pre-existing health issues had worsened since entering the correctional facility, 420 out of 831 respondents (50.5%) answered in the affirmative.

Medical utilization: internal/infirmary care and external medical services

Internal medical care: Out of 978 respondents, 619 (63.3%) reported that they had urgently needed to visit the medical department due to illness. When 606 inmates were questioned about the feasibility of being escorted to the infirmary, 336 (55.4%) indicated it was “somewhat possible.” In contrast, 179 (29.5%) found it “somewhat difficult,” 48 (7.9%) stated it was “not at all possible,” and 43 (7.1%) considered it “very possible.” Overall, 227 respondents (37.4%) expressed difficulty in being escorted to the infirmary.
When asked about their visit to the infirmary, 785 out of 968 respondents (81.1%) reported that they were examined by a doctor (Table 6). Additionally, 869 of 1,016 respondents (85.6%) confirmed that they had received medical treatment from a healthcare professional within the facility.
Table 6.

Medical personnel who conducted medical examinations

2016 2010 2022
Number % Number % Number %
Doctor 785 81.1 634 81.3 543 71.0
Nurse 38 3.9 37 4.7 58 7.6
Correctional officer 90 9.3 65 8.3 119 15.6
Inmate 4 0.4 3 0.4 35 4.6
Others 51 5.3 41 5.3 10 1.3
Total 968 100 780 100 765 100
Of 956 respondents, 277 (29.0%) reported being asked to cover personal medical expenses within the facility. Among those inmates, 83 respondents (30.6%) said they had been unable to receive treatment due to the inability to pay for medical expenses (Table 7).
Table 7.

Inmates experiencing inability to receive medical treatment due to medical expenses

2016 2010 2022
Number % Number % Number %
Yes 83 30.6 66 47.8 127 49.2
No 188 69.4 89 52.2 131 50.8
Total 271 100 155 100 258 100
When asked whether they had ever desired dental treatment, 733 out of 1,015 respondents (72.2%) answered “yes.” Of the 693 respondents who provided further details, 104 (15.1%) reported being unable to receive any dental treatment, and 514 (74.2%) indicated that they had received treatment but experienced an excessive wait time.
Concerning the desire for psychiatric treatment, 166 out of 997 respondents (16.6%) reported wanting such treatment. Among the 133 inmates who gave additional details, 46 (33.1%) reported being unable to receive any psychiatric treatment, while 52 (37.4%) indicated that they had received treatment but experienced an excessive wait time.
When asked to prioritize the top three most essential healthcare services in the facility (calculated using weighted averages), participants ranked “dental consultation and treatment” as the most necessary, followed by “regular health check-ups” in second place and “increased use of external hospital services” in third.
Infirmary admission: Of 885 respondents, 52 (5.9%) reported having applied for admission to the infirmary. Of these, 36 inmates (66.7%) were successfully admitted, indicating that approximately one in three inmates who applied were not admitted. The average time from application to admission was 13.4 days (SD, 26.9 days). Among the 37 inmates who gained admission to the infirmary, five respondents (13.5%) reported that gaining admission was somewhat difficult, while 11 (29.8%) described it as very difficult.
Of the 24 respondents who reported being denied admission to the infirmary, 12 inmates (50.0%) indicated that they were refused without receiving a medical examination. This suggests that half of the refusals occurred without a proper medical evaluation.
External medical treatment: Among 866 respondents, 204 inmates (23.6%) reported having wanted to receive treatment at an external hospital but being unable to apply. Additionally, 140 out of 823 respondents (17.0%) indicated that their requests for external hospital treatment had been denied. Among 125 inmates who had been denied external treatment and provided further details, 24 (19.2%) reported being denied without receiving a medical examination.
Regarding the cost of external hospital treatment, 155 out of 216 respondents (71.8%) reported that they had to cover the full cost themselves. The average time elapsed from applying for external hospital treatment to receiving it was 41.0 days (SD, 82.2 days).
When inmates were transferred to external hospitals, they were accompanied by an average of four correctional officers (SD, 0.8). The median number of officers present during these transfers was also four, with a range of two to six officers and a mode of four officers.

Health check-ups

Of 1,027 respondents, 825 (80.3%) reported receiving a health check-up upon admission to the facility. When asked whether they received follow-up care after the check-up, 293 out of 791 respondents (37.0%) answered in the affirmative, while 311 (39.4%) indicated they did not receive follow-up care.
Only 99 of 797 respondents (12.4%) reported having undergone a mental health check-up at admission. Among 76 inmates who experienced a mental health check-up, only 13 respondents (17.1%) were examined by a psychiatrist.
Regarding general health check-ups during incarceration, 842 out of 1,003 respondents (83.9%) reported receiving one. Among 792 respondents queried about follow-up care after the check-up, 281 (35.5%) confirmed they had received care, while 320 (40.4%) indicated they had not.
Additionally, 70 out of 790 respondents (8.9%) reported having received a mental health check-up while incarcerated. Among 55 of the respondents who indicated having received a mental health check-up, 16 (29.1%) reported being examined by a psychiatrist.

Medication usage

Out of 922 respondents, 345 inmates (37.4%) reported obtaining medication through self-funded purchases, while 324 inmates (35.1%) indicated they received medication via prescription following a medical consultation. Furthermore, 172 inmates (18.7%) reported acquiring medication by submitting a request form without a doctor’s visit.
Of 915 respondents, 439 inmates (48.0%) indicated having been prescribed medication without meeting with a doctor. On average, inmates took medication 4.4 days per week (SD, 0.6 days).
Among 879 respondents, 72 inmates (8.2%) reported having been refused when applying to purchase self-funded medication. Of 947 respondents, 806 inmates (85.1%) had experience with purchasing self-funded medications. The most frequently purchased self-funded medications were vitamins and supplements like calcium (673 inmates, 31.6%), followed by skincare medications (445 inmates, 20.9%) and analgesics (328 inmates, 15.4%).

Emergency situations

Of 747 respondents, 157 inmates (21.0%) reported having requested a consultation with a doctor or nurse at night or on Saturday afternoons, Sundays, or public holidays due to illness. Among 151 inmates who requested a consultation, 48 (31.8%) were able to meet with a doctor or nurse, while 103 inmates (68.2%) were unable to do so.
The average waiting time for inmates to see medical staff after submitting a request was 3.5 days (SD, 2.9 days). The median waiting time was 1 day. Of the 54 inmates who provided detailed information, 20 (37.0%) were able to meet with medical staff within 1 to 3 days.

Medical complaints

Out of 826 respondents, 18 inmates (2.2%) reported having filed complaints or petitions concerning medical issues. Among these 18 inmates, eight (44.4%) stated that they experienced interference from the correctional facility when filing their complaint. After the petitions were processed, only two inmates (12.5%) out of 16 who reported further information indicated that the desired action was taken.
Status of medical staff and facilities across correctional institutions

Medical staff and inmate demographics across correctional facilities

As of September 30, 2016, a total of 57,541 inmates were housed across 52 correctional facilities in South Korea. The breakdown by gender and age revealed that 27.9% (16,072 inmates) were in their 40s, followed by 25.2% (14,526 inmates) in their 50s and 21.5% (12,398 inmates) in their 30s. The inmate population was 71% male and 29% female, with 70% of the inmates between 30 and 50 years old.
Regarding the medical staff available in these facilities, as of September 30, 2016, the staffing fulfillment rates in comparison to the required personnel were as follows: doctors at 79%, pharmacists at 85%, nurses at 98%, and medical technicians at 100%.

Average daily number of patients and prescriptions in correctional facilities

The average daily medical consultation rate varied significantly across correctional facilities, ranging from 3.1% to 30.0%. The Pyeongtaek Branch of Suwon Detention Center reported the highest consultation rate at 30.0%. This was followed by Chuncheon Correctional Facility at 20.9% and the Seosan Branch of Hongseong Correctional Facility at 20.3%. In contrast, Pohang Correctional Facility had the lowest daily consultation rate at 3.1%.
Regarding the daily number of prescriptions issued, as of September 30, 2016, Daejeon Correctional Facility recorded the highest figure, with 3,677 prescriptions. This was followed by Daegu Correctional Facility, with 2,313 prescriptions, and Seoul Detention Center with 1,386 prescriptions.
Directions for improving health rights
Inmates in correctional facilities face considerable barriers to accessing essential healthcare services, resulting in serious violations of their right to health and meaningful disparities in health determinants. From a human rights standpoint, inmates retain the right to health, and correctional institutions are intended to facilitate social reintegration. Supporting inmates in adopting healthy behaviors can positively influence community health, underscoring the importance of improving health rights for inmates [13].
Strategies for key tasks

Establishing a primary healthcare system and community linkages within correctional facilities

While recent investigations indicate an increase in healthcare staff and a rise in the frequency of in-person doctor consultations, many inmates continue to receive exclusively medication-focused treatments, without the benefit of direct consultations. Deficiencies remain in comprehensive services, such as counseling, health education, psychological support, and ongoing monitoring. Notably, dental and mental health services face a substantial unmet demand. Therefore, it is essential to ensure that sufficient healthcare personnel are available to address the gaps in primary healthcare services within correctional facilities. Additionally, a medical information system must be established that maintains continuity of care before and after an inmate’s admission. This should be complemented by the standardization of operational manuals for medical services in these facilities, as well as the development of comprehensive healthcare programs that encompass screening, consultation, and management. Furthermore, efforts must be directed toward medical officers in correctional facilities, focusing on improving their capabilities and education in human rights. For medical officers who repeatedly violate human rights, the adoption of a “three-strike rule” is recommended to prevent them from continuing to provide medical services.

Establishment of a healthcare control tower and governance system in correctional facilities

Establishing a high-quality primary healthcare system within correctional facilities and integrating it with the community healthcare system is a complex task that cannot be accomplished solely through the efforts of individual facilities. The specialized nature of healthcare means that addressing healthcare issues within correctional facilities through the standard correctional administration framework is structurally limited. To ensure the robustness of primary healthcare within these facilities and to facilitate a seamless connection with community healthcare services, it is necessary to create a dedicated healthcare service system within the Ministry of Justice. This system should be separate from the regular correctional administration. Such an approach would enable medical offices in each facility to be directly managed by the Ministry of Justice, rather than being subordinate to the individual correctional facilities.
If a separate healthcare service organization is not created, a control tower should instead be implemented within the Ministry of Justice. This Correctional Healthcare Support Unit could monitor and evaluate the medical offices within each correctional facility.
Additionally, the formation of a Primary Healthcare Enhancement Committee for Correctional Facilities is recommended. This governance body should include members from human rights organizations, representatives from regional public hospitals, community representatives, and experts. The existence of this committee would promote open communication and oversight. Furthermore, improvements to the official Borami system should be made to enable medical officers to access inmates’ medical information from before their incarceration. This access would facilitate improved healthcare management within correctional facilities.

Plans regarding the general environment and medical facilities in correctional institutions

With overcrowding, many inmates who previously lived alone are now struggling to adapt to confined spaces where six or more individuals share a small cell. Such an environment has been identified as a cause of increased conflict among inmates. Additionally, surveys reveal that cooling facilities are notably lacking compared to heating, creating heightened health risks during the summer due to overcrowding, inadequate cooling, and limited water supply.
To address these issues, it is essential to assess whether the capacities of the facilities are set appropriately. Initially, a minimum living space should be established that does not adversely affect the basic quality of life and health of inmates, and the current facility capacities should be adjusted accordingly. Furthermore, to alleviate overcrowding, early release options should be implemented for minor offenders.
Cooling and water supply must be consistently provided during the summer, rather than being restricted to certain times. Ensuring access to adequate cooling and water for bathing is not only a basic human right but also crucial for infection prevention and the management of inmate health during the hotter months. Finally, for patients requiring dialysis, such as those with chronic renal failure, inmates should be housed in designated facilities within regional correctional jurisdictions. This and similar approaches would improve the quality of medical services provided for specific health conditions.

Introduction of mental health programs in correctional facilities

A survey revealed that inmates exhibit significantly higher levels of stress and depression compared to the general population. Poor mental health among the incarcerated not only diminishes their overall health status but also contributes to adverse outcomes, including conflicts, violence, and self-harm. These findings underscore the importance of proactive mental health management. Correctional facilities might benefit from adopting a mental health program akin to that of Jinju Correctional Institution, which focuses on managing psychiatric disorders.
An initial mental health evaluation by a psychiatrist should be incorporated into the intake health screening process. Individuals identified as high-risk should receive psychiatric care, whereas other inmates should have access to mental health programs, such as those offered at Jinju Institution. The mental health of inmates should be regularly assessed, with mental health nurses and clinical psychologists available on-site in collaboration with psychiatrists. For inmates with high depression scores, targeted psychological support should be provided, and measures should be taken to mitigate or eliminate exacerbating factors.
Post-release, these mental health programs should continue in partnership with community mental health centers, such as regional and metropolitan facilities, as integral components of community mental health initiatives. This approach includes the provision of training and support for program coordinators to establish a robust support system. For a detailed description of the program, refer to Supplement 1.

Management plan for severe illnesses, such as cancer, and emergency medical systems in correctional facilities

A robust healthcare management system is crucial in correctional facilities, especially for managing severe illnesses such as cancer and for establishing an effective emergency medical response. For conditions like cancer, thorough monitoring should commence at intake via the cross-referencing of health insurance records, ensuring that undiagnosed cases are not overlooked. When new cases of cancer or other severe illnesses are identified within a correctional facility, it is crucial to coordinate closely with public health centers and community medical institutions to ensure patients are registered for specialized care. Those registered with cancer must receive proactive management both within the facility and through external healthcare services.
Within correctional facilities, patients with cancer and other severe illnesses must be immediately assigned to medical units, with specialized medical rounds tailored to their needs. Effective management of these patients and the ability to respond to potential emergencies necessitate ongoing training to improve the skills of medical officers, as well as the securing of sufficient medical personnel. This goal also entails minimizing delays in emergency medical services that may result from staffing shortages, especially on weekends and holidays.
For cases in which adequate care cannot be provided within the facility, a robust protocol should be in place to secure external treatment from community healthcare institutions. Active medical intervention from these external facilities should be readily accessible to manage severe conditions effectively.

Ongoing efforts by the National Human Rights Commission

The National Human Rights Commission should conduct periodic investigations into the cases of inmates with suspended sentences, deceased inmates, and individuals who frequently file health-related complaints. Additionally, it is necessary to conduct a comprehensive health rights survey encompassing all inmates in correctional facilities across the country every 3 to 5 years. Finally, health rights-focused human rights education must be provided to prison wardens, medical officers, and key senior staff members. Since the primary responsibility for upholding inmate health rights rests with the management of these facilities, particularly the prison wardens, medical officers, and senior officials, their awareness of health rights is directly linked to the protection of these rights among inmates within their respective institutions. Therefore, as a component of the Commission’s human rights education initiatives, it is vital to deliver targeted health rights education to these key supervisory figures.

Project administration: Ju YS, Kim M, Yim J, Choung M

Conceptualization: Ju YS, Kim M, Yim J, Choung M

Methodology & data curation: Ju YS, Kim M, Yim J, Choung M

Funding acquisition: Ju YS, Kim M, Yim J, Choung M

Writing – original draft: Ju YS, Kim M, Yim J, Choung M

Writing – review & editing: Ju YS, Kim M, Yim J, Choung M

No potential conflict of interest relevant to this article was reported.

This study was conducted as part of a research project commissioned by the National Human Rights Commission of Korea for the investigation of human rights conditions.

Not applicable.

Not applicable.

Supplementary materials are available from: https://doi.org/10.12771/emj.2024.e75.

Supplement 1. Original Korean report of this article

Inmates may represent a marginalized group within healthcare.

  • 1. Choi YS, Lee SH, Yoon OK, Keum YM. Study on advancing correctional protection to prevent recidivism - detailed research topic 1: a study on international standards related to correctional treatment. Seoul: Korean Institute of Criminology and Justice; 2014.
  • 2. Keum YM. Study on international rules for the treatment of prisoners. Correct Res 2016;71:161-190.
  • 3. Park YK. Medical treatment for prisoners. Correct Rev 2010;48:73-105.

Figure & Data

References

    Citations

    Citations to this article as recorded by  

      Download Citation

      Download a citation file in RIS format that can be imported by all major citation management software, including EndNote, ProCite, RefWorks, and Reference Manager.

      Format:

      Include:

      Health rights of inmates in correctional facilities in Korea as of 2016: a cross-sectional study
      Ewha Med J. 2025;48(1):e75  Published online January 31, 2025
      Download Citation
      Download a citation file in RIS format that can be imported by all major citation management software, including EndNote, ProCite, RefWorks, and Reference Manager.

      Format:
      • RIS — For EndNote, ProCite, RefWorks, and most other reference management software
      • BibTeX — For JabRef, BibDesk, and other BibTeX-specific software
      Include:
      • Citation for the content below
      Health rights of inmates in correctional facilities in Korea as of 2016: a cross-sectional study
      Ewha Med J. 2025;48(1):e75  Published online January 31, 2025
      Close
      Health rights of inmates in correctional facilities in Korea as of 2016: a cross-sectional study
      Health rights of inmates in correctional facilities in Korea as of 2016: a cross-sectional study

      Number of survey participants by facility

      Capacity Current number of inmates Participants %
      Gyeongbuk Northern Correctional Institution No. 1 1,270 1,347 100 9.5
      Daejeon Correctional Institution 2,060 2,935 133 12.6
      Mokpo Correctional Institution 1,040 1,295 108 10.2
      Seoul Detention Center 2,200 3,521 100 9.5
      Anyang Correctional Institution 1,700 1,900 100 9.5
      Yeoju Correctional Institution 1,610 1,603 101 9.5
      Jinju Correctional Institution 1,050 1,003 112 10.6
      Cheonan Correctional Institution 1,060 1,225 101 9.5
      Cheongju Correctional Institution 750 1,079 100 9.5
      Cheongju Women’s Correctional Institution 610 750 102 9.6
      Total 13,350 15,364 1,057 100

      Number of external medical consultations by facility (May 1, 2015−April 30, 2016)

      Time Seoul Detention Center Anyang Correctional Institution Daejeon Correctional Institution Gyeongbuk Northern Correctional Institution No. 1 Mokpo Correctional Institution Jinju Correctional Institution
      15.5 239 356 256 123 221 92
      15.6 295 401 255 114 199 99
      15.7 293 461 281 110 222 100
      15.8 309 426 199 94 194 88
      15.9 212 395 231 114 265 103
      15.10 239 360 375 108 246 87
      15.11 212 378 322 125 286 75
      15.12 233 350 231 125 289 78
      16.1 202 303 295 93 241 71
      16.2 213 334 287 106 250 62
      16.3 222 351 327 107 303 108
      16.4 202 355 397 103 264 82
      Total 2,871 4,470 3,456 1,322 2,980 1,045

      Number of internal medical consultations by facility (May 1, 2015−April 30, 2016)

      Time Seoul Detention Center Anyang Correctional Institution Daejeon Correctional Institution Gyeongbuk Northern Correctional Institution No. 1 Mokpo Correctional Institution Jinju Correctional Institution
      15.5 10,390 16,600 44,317 14,281 11,700 6,960
      15.6 11,150 19,320 43,383 13,576 10,764 7,794
      15.7 12,170 19,612 43,557 12,984 11,181 7,455
      15.8 10,632 17,127 42,435 12,944 11,705 6,145
      15.9 11,122 16,767 46,720 13,148 11,742 7,323
      15.10 12,787 18,906 50,297 14,031 13,334 7,152
      15.11 11,618 19,020 48,244 14,512 14,215 7,018
      15.12 12,874 19,388 51,958 15,166 15,376 8,345
      16.1 11,248 17,324 51,678 15,035 15,261 7,919
      16.2 10,155 15,134 47,353 14,692 16,864 7,337
      16.3 11,660 17,238 48,244 16,591 17,334 8,775
      16.4 11,470 15,542 43,778 19,484 16,177 7,045
      Total 137,816 211,977 561,965 176,444 165,653 89,277

      Number of inmates with mental health conditions (2014)

      Total Behavior disorders (F10-F19) Schizophrenia (F20-F29) Depression (F30-F39) Anxiety disorders (F40-F49) Sleep disorders (F50-F99) Etc.
      Seoul 160 6 23 67 39 5 20
      Anyang 114 37 43 34
      Daejeon 123 3 18 52 30 14 6
      Kyungpook 82 7 26 18 17 10 5
      Mokpo 103 2 10 49 13 25 4
      Jinju 119 76 36 7

      Number of inmates with mental health conditions (2015)

      Total Behavior disorders (F10-F19) Schizophrenia (F20-F29) Depression (F30-F39) Anxiety disorders (F40-F49) Sleep disorders (F50-F99) Others
      Seoul 140 24 33 35 3 45
      Anyang 110 5 30 29 17 29
      Daejeon 107 3 18 46 21 14 5
      Kyungpook 93 3 19 20 29 15 7
      Mokpo 161 3 8 52 27 70 1
      Jinju 123 24 86 11 2

      Medical personnel who conducted medical examinations

      2016 2010 2022
      Number % Number % Number %
      Doctor 785 81.1 634 81.3 543 71.0
      Nurse 38 3.9 37 4.7 58 7.6
      Correctional officer 90 9.3 65 8.3 119 15.6
      Inmate 4 0.4 3 0.4 35 4.6
      Others 51 5.3 41 5.3 10 1.3
      Total 968 100 780 100 765 100

      Inmates experiencing inability to receive medical treatment due to medical expenses

      2016 2010 2022
      Number % Number % Number %
      Yes 83 30.6 66 47.8 127 49.2
      No 188 69.4 89 52.2 131 50.8
      Total 271 100 155 100 258 100
      Table 1. Number of survey participants by facility

      Table 2. Number of external medical consultations by facility (May 1, 2015−April 30, 2016)

      Table 3. Number of internal medical consultations by facility (May 1, 2015−April 30, 2016)

      Table 4. Number of inmates with mental health conditions (2014)

      Table 5. Number of inmates with mental health conditions (2015)

      Table 6. Medical personnel who conducted medical examinations

      Table 7. Inmates experiencing inability to receive medical treatment due to medical expenses

      TOP